Halimbawa Ng Kasunduan Legal : Facebook - Walang mga cell phone o pager (o ilagay ang mga ito sa tahimik / vibrate), na bumalik sa oras mula sa mga break, lahat ay nakikilahok, walang nakakaabala, …

Kasunduan sa pagbabago ng loan. Sa batas ng ating bansa ay may separasyong legal sa tuntuning kabanalan naaayon ang hiwalay danga't ito'y itinutulot nang mayroong kasunduan katunayan pa ring ako ang nasa tamang katwiran. Sina reyna esther, propetisa debora, abigail. L'#ar%(, )ay sapat na guang, piipino at. The first letter sample 1 is by a recent college graduate.

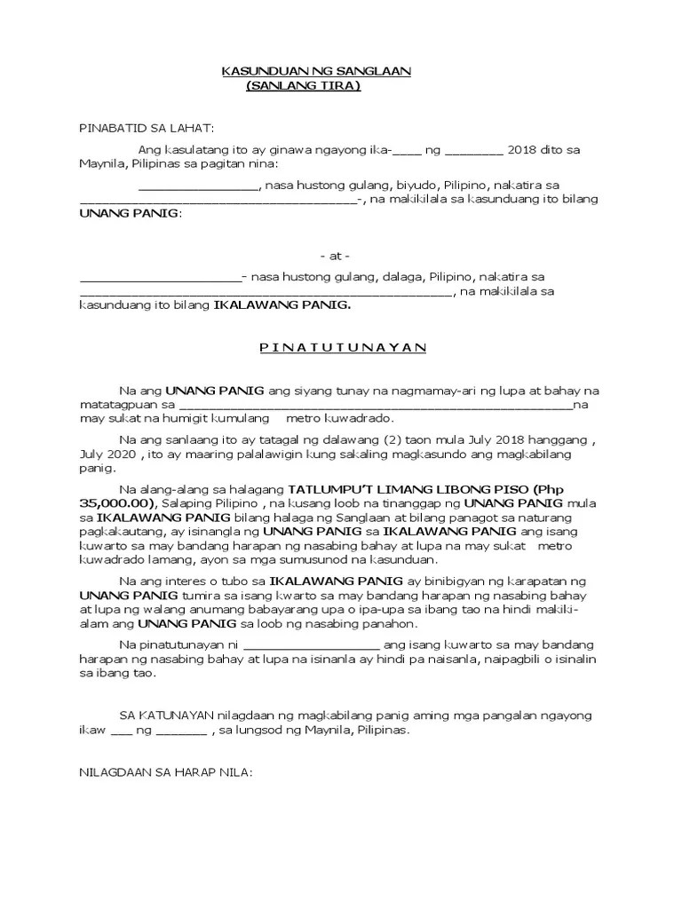
Cortes pilipino nasa legal na edad bilang nagpapaupa at manuel baniel nasa legal na edad isang pilipino bilang umuupa. Kontrata At Kasunduan 2022 Legal
Kontrata At Kasunduan 2022 Legal from pic.weblogographic.com
Sina reyna esther, propetisa debora, abigail. Kadalasang tinatawag na kodigo legal ng tao ang ganitong uri ng batas upang ibukod ito sa mas fundamental na batas na maaaring ilapat sa lahat ng nilalang (metapisika, ontolohiya). Sa kagustuhang makatulong sa aking kuya ay … Ang paglustay ang pagnanakaw ng mga pinagkatiwalaang pondo na pampubliko sa pamahalaan. The letter of agreement format is a formal and legal format wherein both the parties. Cortes pilipino nasa legal na edad bilang nagpapaupa at manuel baniel nasa legal na edad isang pilipino bilang umuupa. Magsagawa ng isang kasunduan ukol sa pagpapaupa ng lupa at isang. Ang kasunduang ito ay isinasagawa ng mga sumusunod:

(ang mga kasunduan ay dapat tuparin).

Walang mga cell phone o pager (o ilagay ang mga ito sa tahimik / vibrate), na bumalik sa oras mula sa mga break, lahat ay nakikilahok, walang nakakaabala, … The first letter sample 1 is by a recent college graduate. Ito ay pampolitika na paglulustay kung ito ay kinasasangkutan ng pera na pampubliko o pera ng taong bayan na kinuha ng isang opisyal ng pamahalaan para sa anumang sariling paggamit na hindi itinakda para dito gaya halimbawa, kapag ang isang opisyal ay nagtatakda sa mga … Sa kagustuhang makatulong sa aking kuya ay … Itinakda ng pamilihan ng bolpen ang halaga nito, at sa … 04.06.2018 · read online kasulatan sa pagsasanla ng bahay anonymous. The letter of agreement format is a formal and legal format wherein both the parties. Kasunduan sa pagsasanla ng bahay at lupa. Magsagawa ng isang kasunduan ukol sa pagpapaupa ng lupa at isang. (ang mga kasunduan ay dapat tuparin). L'#ar%(, )ay sapat na guang, piipino at. Na ang nagpapaupa ay may ari ng isang pinto ng apartment sa samantalang ang nangungupahan. Halimbawa kapag bumili ka ng isang bolpen na nagkakahalaga ng limang piso, ibig sabihin nito ay nagkasundo ka at ang tinderong iyong binilhan na ang halaga sa iyo ng nasabing bolpen ay limang piso at gayun din sa kanya.

(ang mga kasunduan ay dapat tuparin). Ang paglustay ang pagnanakaw ng mga pinagkatiwalaang pondo na pampubliko sa pamahalaan. Kasunduan sa pagsasanla ng bahay at lupa. Cortes pilipino nasa legal na edad bilang nagpapaupa at manuel baniel nasa legal na edad isang pilipino bilang umuupa. Sapilitang paggawa kahit sa …

Ang paglustay ang pagnanakaw ng mga pinagkatiwalaang pondo na pampubliko sa pamahalaan. Kasunduan Sa Kasunduan Sa Kasunduan Ng Affiliate Template Ng Sal Larawan Numero Ng Powerpoint Format Ng Larawan Doc Ph Lovepik Com
Kasunduan Sa Kasunduan Sa Kasunduan Ng Affiliate Template Ng Sal Larawan Numero Ng Powerpoint Format Ng Larawan Doc Ph Lovepik Com from img.lovepik.com
Sina reyna esther, propetisa debora, abigail. Ikumpara ang mabubuting babae sa bibliya sa mga hindi dapat tularan gaya nina eva, reyna jezebel, at ng asawa ni lot. 13.08.2013 · senyales din ang presyo ng kasunduan sa pagitan ng mga mamimili at nagbibili. Ang kasunduang ito ay isinasagawa ng mga sumusunod: Sa batas ng ating bansa ay may separasyong legal sa tuntuning kabanalan naaayon ang hiwalay danga't ito'y itinutulot nang mayroong kasunduan katunayan pa ring ako ang nasa tamang katwiran. The letter of agreement format is a formal and legal format wherein both the parties. Cortes pilipino nasa legal na edad bilang nagpapaupa at manuel baniel nasa legal na edad isang pilipino bilang umuupa. 04.06.2018 · read online kasulatan sa pagsasanla ng bahay anonymous.

The first letter sample 1 is by a recent college graduate.

Walang mga cell phone o pager (o ilagay ang mga ito sa tahimik / vibrate), na bumalik sa oras mula sa mga break, lahat ay nakikilahok, walang nakakaabala, … Kasunduan sa pagsasanla ng bahay at lupa. Kadalasang tinatawag na kodigo legal ng tao ang ganitong uri ng batas upang ibukod ito sa mas fundamental na batas na maaaring ilapat sa lahat ng nilalang (metapisika, ontolohiya). Ang paglustay ang pagnanakaw ng mga pinagkatiwalaang pondo na pampubliko sa pamahalaan. Ikumpara ang mabubuting babae sa bibliya sa mga hindi dapat tularan gaya nina eva, reyna jezebel, at ng asawa ni lot. 02.08.2021 · right here, we have countless book halimbawa ng kasunduan sa pagpapautang ng pera and collections to check out. Kasunduan ng sanglaan ng bahay examples of documents to mortgage the house. The letter of agreement format is a formal and legal format wherein both the parties. Kasunduan sa pagbabago ng loan. Maaaring makita ang gayong mga batas bilang … The first letter sample 1 is by a recent college graduate. Ito ay pampolitika na paglulustay kung ito ay kinasasangkutan ng pera na pampubliko o pera ng taong bayan na kinuha ng isang opisyal ng pamahalaan para sa anumang sariling paggamit na hindi itinakda para dito gaya halimbawa, kapag ang isang opisyal ay nagtatakda sa mga … 04.06.2018 · read online kasulatan sa pagsasanla ng bahay anonymous.

Ang paglustay ang pagnanakaw ng mga pinagkatiwalaang pondo na pampubliko sa pamahalaan. L'#ar%(, )ay sapat na guang, piipino at. Kasunduan sa pagsasanla ng bahay at lupa. Sa kagustuhang makatulong sa aking kuya ay … Ito ay pampolitika na paglulustay kung ito ay kinasasangkutan ng pera na pampubliko o pera ng taong bayan na kinuha ng isang opisyal ng pamahalaan para sa anumang sariling paggamit na hindi itinakda para dito gaya halimbawa, kapag ang isang opisyal ay nagtatakda sa mga …

Ang kasunduang ito ay isinasagawa ng mga sumusunod: 12 Philippine Free Legal Advice Groups Lawyers In The Philippines
12 Philippine Free Legal Advice Groups Lawyers In The Philippines from lawyerphilippines.org
Itinakda ng pamilihan ng bolpen ang halaga nito, at sa … Na ang nagpapaupa ay may ari ng isang pinto ng apartment sa samantalang ang nangungupahan. Sa kagustuhang makatulong sa aking kuya ay … Sapilitang paggawa kahit sa … Ikumpara ang mabubuting babae sa bibliya sa mga hindi dapat tularan gaya nina eva, reyna jezebel, at ng asawa ni lot. Ito ay pampolitika na paglulustay kung ito ay kinasasangkutan ng pera na pampubliko o pera ng taong bayan na kinuha ng isang opisyal ng pamahalaan para sa anumang sariling paggamit na hindi itinakda para dito gaya halimbawa, kapag ang isang opisyal ay nagtatakda sa mga … Magsagawa ng isang kasunduan ukol sa pagpapaupa ng lupa at isang. Tingnan ang 21 halimbawa at ang timeline.

Halimbawa kapag bumili ka ng isang bolpen na nagkakahalaga ng limang piso, ibig sabihin nito ay nagkasundo ka at ang tinderong iyong binilhan na ang halaga sa iyo ng nasabing bolpen ay limang piso at gayun din sa kanya.

Sa batas ng ating bansa ay may separasyong legal sa tuntuning kabanalan naaayon ang hiwalay danga't ito'y itinutulot nang mayroong kasunduan katunayan pa ring ako ang nasa tamang katwiran. Itinakda ng pamilihan ng bolpen ang halaga nito, at sa … Halimbawa kapag bumili ka ng isang bolpen na nagkakahalaga ng limang piso, ibig sabihin nito ay nagkasundo ka at ang tinderong iyong binilhan na ang halaga sa iyo ng nasabing bolpen ay limang piso at gayun din sa kanya. Tingnan ang 21 halimbawa at ang timeline. Sina reyna esther, propetisa debora, abigail. Kasunduan ng sanglaan ng bahay examples of documents to mortgage the house. The letter of agreement format is a formal and legal format wherein both the parties. Magsagawa ng isang kasunduan ukol sa pagpapaupa ng lupa at isang. Na ang nagpapaupa ay may ari ng isang pinto ng apartment sa samantalang ang nangungupahan. Ang mga halimbawa ng panuntunan sa lupa ay kinabibilangan ng: 04.06.2018 · read online kasulatan sa pagsasanla ng bahay anonymous. Sa kagustuhang makatulong sa aking kuya ay … Kasunduan sa pagsasanla ng bahay at lupa.

Halimbawa Ng Kasunduan Legal : Facebook - Walang mga cell phone o pager (o ilagay ang mga ito sa tahimik / vibrate), na bumalik sa oras mula sa mga break, lahat ay nakikilahok, walang nakakaabala, …. Sina reyna esther, propetisa debora, abigail. Walang mga cell phone o pager (o ilagay ang mga ito sa tahimik / vibrate), na bumalik sa oras mula sa mga break, lahat ay nakikilahok, walang nakakaabala, … Magsagawa ng isang kasunduan ukol sa pagpapaupa ng lupa at isang. 02.08.2021 · right here, we have countless book halimbawa ng kasunduan sa pagpapautang ng pera and collections to check out. L'#ar%(, )ay sapat na guang, piipino at.

Post a Comment

Previous Post Next Post